Lompat ke konten Lompat ke sidebar Lompat ke footer

Menentukan Invers Matriks Berordo 3 * 3 : Contoh Soal Determinan Matriks Invers Matriks Dan Perhitunganya : Simak ulasannyna pada pembahasan di bawah.

Menentukan Invers Matriks Berordo 3 * 3 : Contoh Soal Determinan Matriks Invers Matriks Dan Perhitunganya : Simak ulasannyna pada pembahasan di bawah.. Minor a = minor b. Rumus invers matriks ordo 3 x 3. Misalkan matriks a berordo n x n. Penentu urutan 3×3 dapat dicari dengan dua metode: Matriks yang dapat di hitung nilai determinannya hanya matriks persegi.

A = 3 2 1 − 1 2 4 5 1 − 3 penyelesaian. Determinan dari matriks a sering dinotasikan dengan det a atau. Mencari suatu invers matriks dapat diselesaikan dengan operasi perkalian matriks dengan produk suatu matriks identitas. Caranya mudah, yaitu… diagonal utama sebagai sumbu putar. Makalah invers matriks 2x2 dan 3x3 contoh soal jawaban penjelasannya contoh matriks adjoin determinan materi pembelajaran matriks ordo.

3 Cara Untuk Membalik Matriks 3x3 Wikihow
3 Cara Untuk Membalik Matriks 3x3 Wikihow from www.wikihow.com
Pada rumus di atas, hanya bisa digunakan untuk menentukan invers dari suatu matriks yang berordo 2 x 2. Contoh soal menentukan invers matriks berordo 3 x 3tentukan invers matriks b yang diberikan pada persamaan di bawah. Terdapat matriks a yang kan ditentukan inversnya : Rumus determinan matriks 3 3 penma 2b. A = 3 2 1 − 1 2 4 5 1 − 3 penyelesaian. Tentukan invers matriks yang berordo 3 x 3 berikut! Invers matriks berordo 3 × 3 dapat dicari dengan beberapa cara. Berikut ini adalah 5 langkah menentukan invers matriks ordo 3x3, diantaranya adalah :

Untuk menentukan rumus invers suatu matriks berordo 2×2 sebagai berikut ini :

Adjoin diperoleh dari transpose suatu matriks. Tentukan invers matriks berikut ini! Berikut ini adalah 5 langkah menentukan invers matriks ordo 3x3, diantaranya adalah : Cara menentukan invers matriks 2x2 dan 3x3. Maka dari itu, sudah seharusnya anda menguasai bagaiamana cara mencari matrik inverse terutama anda yang masih pelajar. Blog ali ttph determinan matriks dan invers matriks. Setelah determinan dihitung, berikutnya kita coba membuat kode mencari invers matriks tersebut. Determinan matriks ordo 3 x 3 dengan metode sarrus: Invers matriks terdiri dari dua jenis yaitu matriks persegi (2×2) dan matriks 3×3. Membuat invers matriks 2×2 dan 3×3 dengan borland c++. Untuk lebih memahaminya, berikut penjelasan mengenai rumus invers matriks dalam ordo 2x2 maupun 3x3. Rumusan dari invers matriks persegi berordo 2. Dalam matriks memiliki aturan tersendiri untuk setiap oprasinya.

Invers matriks terdiri dari dua jenis, yaitu matriks persegi (2×2) dan matriks 3×3. Untuk determinan matriks 3 x 3 kita dapat menggunakan metode sarrus ataupun metode ekspansi kofaktor Contoh soal invers matriks determinan matriks ordo 3 : Penjelasan contoh soal tersebut hanyalah polanya saja supaya kalian memahami cara menentukan invers matriks ordo 3 x 3. Setelah determinan dihitung, berikutnya kita coba membuat kode mencari invers matriks tersebut.

Contoh Soal Perkalian Matriks Ordo 3x3 Sedang
Contoh Soal Perkalian Matriks Ordo 3x3 Sedang from data03.123dok.com
Caranya mudah, yaitu… diagonal utama sebagai sumbu putar. Rumus invers matriks ordo 3 x 3. Invers matriks terdiri dari dua jenis yaitu matriks persegi (2×2) dan matriks 3×3. Sebelum, menentukan invers matriks yang berordo 3 x 3, ada baiknya terlebih dahulu kita pahami atau ingat kembali mengenai determinan matriks berordo 3 x 3 dan minor, kofaktor, matriks kofaktor dari suatu matriks serta adjoin matriks. Penjelasan contoh soal tersebut hanyalah polanya saja supaya kalian memahami cara menentukan invers matriks ordo 3 x 3. Minor a = minor b. Menentukan invers dari matriks a dengan rumus : Matriks a nxn dapat didiagonalisasikan jika dan hanya jika n vektor eigen yang bebas linear.

Contohnya matriks a mempunyai ordo (3 x 4) serta matriks b mempunyai ordo (4 x 2), maka matriks c mempunyai ordo (3 x 2).

Dan perlu kalian ketahui bahwa nilai determinan dari suatu matriks merupakan scalar. Jadi, untuk invers matriks hanya membahas yang berordo 2 x 2 saja. Terdapat matriks a yang kan ditentukan inversnya : Melalui halaman ini, idschool akan berbagi cara menentukan invers matriks ordo 3 x 3. Determinan matriks ordo 3 x 3 dengan metode sarrus: Invers matriks berordo 3 × 3 dapat dicari dengan beberapa cara. Misalnya matriks persegi 3×3 maka submatriksnya berordo 2×2. Kita akan menggunakan cara adjoin dan transformasi baris elementer. Simak ulasannyna pada pembahasan di bawah. Matriks jenis determinan dan invers tambah pinter. Pada pembahasan kali ini kita akan menggunakan cara adjoin dan transformasi baris elementer. Tentukan invers matriks berikut ini! Determinan dari matriks tersebut disebut minor aij.

Untuk lebih memahaminya, berikut penjelasan mengenai rumus invers matriks dalam ordo 2x2 maupun 3x3. Menentukan invers dari matriks a dengan rumus : Untuk determinan matriks 3 x 3 kita dapat menggunakan metode sarrus ataupun metode ekspansi kofaktor A = 3 2 1 − 1 2 4 5 1 − 3 penyelesaian. Jika a = adalah matriks persegi berordo 3 × 3, determinan a dinyatakan dengan det a =.

Cara Mencari Determinan Dan Invers Matriks Matematika Kelas 11
Cara Mencari Determinan Dan Invers Matriks Matematika Kelas 11 from www.ruangguru.com
Diawali dengan soal mudah sederhana meningkat ke soal soal tipe un. Matriks yang dapat di hitung nilai determinannya hanya matriks persegi. Penjelasan contoh soal tersebut hanyalah polanya saja supaya kalian memahami cara menentukan invers matriks ordo 3 x 3. Makalah invers matriks 2x2 dan 3x3 contoh soal jawaban penjelasannya contoh matriks adjoin determinan materi pembelajaran matriks ordo. Sebelum, menentukan invers matriks yang berordo 3 x 3, ada baiknya terlebih dahulu kita pahami atau ingat kembali mengenai determinan matriks berordo 3 x 3 dan minor, kofaktor, matriks kofaktor dari suatu matriks serta adjoin matriks. Rumusan dari invers matriks persegi berordo 2. Cara menentukan invers matriks 2x2 dan 3x3. Simak ulasannyna pada pembahasan di bawah.

Tentukan invers matriks yang berordo 3 x 3 berikut!

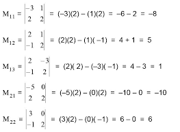
# determinan matriks persegi berordo 3 x 3 menggunakan aturan sarrus. Putar berlawanan arah jarum jam dan… didapatlah adjoin! Tentukan invers matriks yang berordo 3 x 3 berikut! Menentukan invers dari matriks a dengan rumus : Rumus determinan matriks 3 3 penma 2b. Rumus invers matriks ordo 3 x 3. Rumus menentukan determinan yang berordo 3x3 dan berikan contoh nya kalo bisa secara lengkap tq brainly co id. Penentu urutan 3×3 dapat dicari dengan dua metode: Minor a = minor b. Adapun teorema tentang diagonalisasi yaitu: Matriks yang dapat di hitung nilai determinannya hanya matriks persegi. Rumusan dari invers matriks persegi berordo 2. Adj(a) = adjoin matriks a (merupakan transpos dari matriks kofaktor a) untuk lebih jelasnya mengenai cara menentukan invers matriks berordo 3 x 3, berikut adalah contoh soal dan jawaban dari invers matriks 3 x 3.

Posting Komentar untuk "Menentukan Invers Matriks Berordo 3 * 3 : Contoh Soal Determinan Matriks Invers Matriks Dan Perhitunganya : Simak ulasannyna pada pembahasan di bawah."